Série de pagamentos II Fator de formação de capital FFC
O problema a resolver é o seguinte:
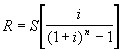
Determinar a quantia R a ser depositado em cada período, sendo i a taxa de juros por período, para que se obtenha no final dos períodos, o montante S. Vamos considerar dois casos: fluxo postecipado e fluxo antecipado.
Fluxo postecipado ----> (aquele cujos pagamentos ou recebimentos iniciam-se um período após a data zero do fluxo de caixa).
Da fórmula vista na lição anterior, deduzimos imediatamente que:
- o fator entre colchetes é denominado Fator de formação de capital - FFC(i,n).
- assim, teremos: R = S . FFC(i,n). Os valores de FFC(i,n) são tabelados.
A fórmula acima é muito importante, por exemplo, para o planejamento de poupança, tabela price, etc.
Utilizando a simbologia da calculadora HP 12C, a fórmula acima ficaria:
Exemplo: Um investidor deseja resgatar $1.000.000,00 ao final de 10 anos, de um fundo de renda fixa que remunera o capital investido a 3% a .m. Determine quanto ele deverá depositar ao final de cada mês, para obter o montante desejado ao final dos 10 anos.
Solução: Substituindo os valores na fórmula, vem:
R = 1000000.[0,03/(1+0,03)120 1] = $889,92
Pela calculadora HP 12C:
1000000
FV
120
n
3
i
PMTAparecerá no visor, o valor 889,92 , com o sinal negativo, uma vez que pela convenção adotada na calculadora HP 12C, os valores pagos, são considerados negativos, conforme já vimos antes.
Fluxo antecipado ----> (aquele cujo início dos pagamentos ou recebimentos ocorre na data zero do fluxo de caixa).
Da fórmula vista no capítulo anterior, deduzimos imediatamente:
Exemplo: Um investidor deseja resgatar $1.000.000,00 ao final de 10 anos, de um fundo de renda fixa que remunera o capital investido a 3% a .m. Determine quanto ele deverá depositar no início de cada mês, para obter o montante desejado ao final dos 10 anos.
Solução:
Substituindo os valores na fórmula, vem:
R = 1000000. [1/(1+0,03)][0,03/(1+0,03)120 1] = $863,99Pela calculadora HP 12C:
g
BEG
1000000
FV
120
n
3
i
PMTAparecerá no visor, o valor 863,99 , com o sinal negativo, uma vez que pela convenção adotada na calculadora HP 12C, os valores pagos, são considerados negativos, conforme já vimos anteriormente.
Paulo Marques Feira de Santana, 01 de julho de 2000.