Série de pagamentos III Fator de valor atual FVA
Considere o seguinte problema:
Determinar o principal P que deve ser aplicado a uma taxa i para que se possa retirar o valor R em cada um dos n períodos subseqüentes.
Este problema também poderia ser enunciado assim: qual o valor P que financiado à taxa i por período, pode ser amortizado em n pagamentos iguais a R?
Fluxo postecipado (pagamentos ao final de cada período, conforme figura a seguir:
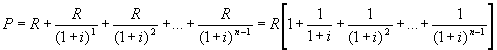
Trazendo os valores R para o tempo zero, vem:
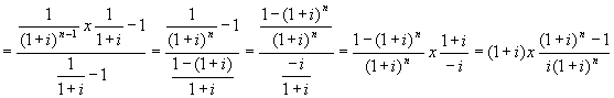
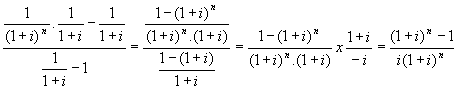
O fator entre colchetes representa a soma dos n primeiros termos de uma progressão geométrica de primeiro termo 1/(1+i), razão 1/(1+i) e último termo 1/(1+i)n.
Teremos então, usando a fórmula da soma dos n primeiros termos de uma progressão geométrica:
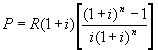
O fator entre colchetes será então igual a:
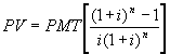
Substituindo, vem finalmente:
- o fator entre colchetes, é denominado Fator de valor atual FVA(i,n)
- assim, teremos: P = R . FVA(i,n). Os valores de FVA(i,n) são tabelados.
- observe que P corresponde a PV e R corresponde a PMT na calculadora HP 12C.
Usando a simbologia da calculadora HP 12C, a fórmula acima ficaria:
Exemplo: Qual o valor do empréstimo que poderá ser amortizado em 10 prestações mensais de $200,00, sabendo-se que a taxa de juros do financiamento é de 5% ao mês e que os pagamentos são efetuados no final de cada mês?
Solução:
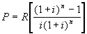
P = 200{[(1+0,05)10 1] / [0,05(1+0,05)10]} = $1544,35Pela HP 12C:
200
CHS
PMT
10
n
5
i
PV
Aparecerá no visor, o valor encontrado acima.Fluxo antecipado (pagamentos ao início de cada período, conforme figura a seguir:
Trazendo os valores de R para a data zero, teremos:
O fator entre em colchetes, representa uma progressão geométrica de primeiro termo 1, razão 1/(1+i) e último termo 1/(1+i)n-1.
O fator entre em colchetes será igual a:
Substituindo, vem finalmente:
Exemplo: Qual o valor do empréstimo que poderá ser amortizado em 10 prestações mensais de $200,00, sabendo-se que a taxa de juros do financiamento é de 5% ao mês e que os pagamentos são efetuados no início de cada mês?
Solução:
P = 200(1+0,05){[(1+0,05)10 1] / [0,05(1+0,05)10]} = $1621,56Pela HP 12C:
g
BEG
200
CHS
PMT
10
n
5
i
PV
Aparecerá no visor, o valor encontrado acima.Paulo Marques, Feira de Santana BA, 01 de julho de 2000.