Trigonometria VI

Adição e subtração de arcos

1. Vimos em Trigonometria V, a dedução da fórmula do cosseno da diferença de dois arcos. Apresentaremos a seguir, as demais fórmulas da adição e subtração de arcos sem as deduções, lembrando que essas deduções seriam similares àquela desenvolvida para cos(a – b), com certas peculiaridades inerentes a cada caso.

2. Sejam a e b dois arcos trigonométricos.
 
São válidas as seguintes fórmulas, que devem ser memorizadas! Repito aqui, que uma das aparentes dificuldades da Trigonometria é essa necessidade imperiosa de memorização de fórmulas. Entretanto, a não memorização levaria a perda de tempo para deduzi-las durante as provas, o que tornaria a situação impraticável. Talvez, a melhor solução seria aquela em que os examinadores que elaboram os exames vestibulares inserissem como anexo de toda prova, um resumo das fórmulas necessárias à sua resolução, exigindo do candidato, apenas o conhecimento e o raciocínio necessários para manipulá-las algébricamente e, aí sim teria sido feito justiça! Fica a sugestão aos professores!.

Eis as fórmulas, já conhecidas de vocês, assim espero.

cos(a – b) = cosa . cosb + sena . senb
cos(a + b) = cosa . cosb – sena . senb
sen(a – b) = sena . cosb – senb . cosa
sen(a + b) = sena . cosb + senb . cosa

Nota: nas duas fórmulas da tangente, sempre leve em conta a absoluta impossibilidade da divisão por zero!
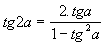
Fazendo a = b nas fórmulas da soma, vem:
sen2a = 2sena . cosa
cos2a = cos2a – sen2a = 2cos2a – 1 = 1 – 2.sen2a

Paulo Marques - Feira de Santana - BA, nos idos de setembro 1997, com revisão em 30/09/06.

CONTINUAR                 VOLTAR