Trigonometria VII 1 - Multiplicação de arcos
Problema: Conhecendo-se as funções trigonométricas de um arco a , determinar as funções trigonométricas do arco n.a onde n é um número inteiro maior ou igual a 2.
Usaremos as fórmulas das funções trigonométricas da soma de arcos para deduzi-las.1.1 - Seno e cosseno do dobro de um arco
Sabemos das aulas anteriores que sen(a + b) = sen a .cos b + sen b. cos a. Logo, fazendo a = b, obteremos a fórmula do seno do dobro do arco ou do arco duplo:
sen 2a = 2 . sen a . cos a
Analogamente, usando a fórmula do cosseno da soma, que sabemos ser igual a
cos(a + b) = cos a . cos b - sen a .sen b
e fazendo a = b, obteremos a fórmula do cosseno do dobro do arco ou do arco duplo:
cos 2a = cos2a - sen2a
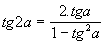
Da mesma forma, partindo da tangente da soma, obteremos analogamente a fórmula da tangente do dobro do arco ou do arco duplo:
![]()
A fórmula acima somente é válida para tga ¹ 1 e tga ¹ -1, já que nestes casos o denominador seria nulo! Lembre-se do 11º mandamento! NÃO DIVIDIRÁS POR ZERO! Sabemos que a divisão por zero não é possível. Imagine dividir 2 chocolates por zero pessoas!!!
Exemplos:
sen4x = 2.sen2x.cos2x
senx = 2.sen(x/2).cos(x/2)
cosx = cos2(x/2) - sen2(x/2)
cos4x = cos22x - sen22x, ... , etc.2 - Divisão de arcos
Vamos agora achar as funções trigonométricas da metade de um arco, partindo das anteriores.2.1 - Cosseno do arco metade
Ora, sabemos que cos2a = cos2a - sen2a
Substituindo sen2a, por 1 - cos2a, já que sen2a + cos2a = 1, vem:
cos2a = 2.cos2a - 1. Daí, vem:
cos2a = (1+cos2a) / 2
Fazendo a = x/2, vem, cos2(x/2) = [1+cosx]/2.
Podemos escrever então a fórmula do cosseno do arco metade como:
Obs: o sinal algébrico vai depender do quadrante ao qual pertence o arco x/2.
2.2 - Seno do arco metade
Podemos escrever: cos2a = (1-sen2a) - sen2a = 1 - 2sen2a
Daí vem: sen2a = (1 - cos2a)/2
Fazendo a = x/2 , vem: sen2(x/2) = (1 - cosx) / 2.
Podemos escrever então, a fórmula do seno do arco metade como segue:
Obs: o sinal algébrico vai depender do quadrante ao qual pertence o arco x/2.
2.3 - Tangente do arco metade
Dividindo membro a membro as equações 2.1 e 2.2 anteriores, lembrando que
tg(x/2) = sen(x/2) / cos(x/2), vem:
![]()
Obs: o sinal algébrico vai depender do quadrante ao qual pertence o arco x/2.
Exercício resolvido
Simplifique a expressão y = cossec2a - cotg2aSolução:
Sabemos que cossec2a = 1 / sen2a e cotg2a = cos2a / sen2a . Logo,
y = (1/sen2a) - (cos2a/sen2a)
Simplificando, vem: y = (1 - cos2a) / sen2a . Portanto,
Portanto, cossec2a - cotg2a = tga.
Lembre-se que 1 - cos2a = sen2a.
Somente a título de ilustração, vamos ler a expressão resultado: A cossecante do dobro de um arco subtraída da cotangente do dobro do mesmo arco é igual à tangente do arco. Aqui pra nós: a linguagem simbólica não é muito mais fácil?3 - Transformação de somas em produto
Vamos deduzir outras fórmulas importantes da Trigonometria.
As fórmulas a seguir são muito importantes para a simplificação de expressões trigonométricas.
Já sabemos que:
sen(a + b) = sen a . cos b + sen b . cos a
sen (a - b) = sen a . cos b - sen b . cos a
Somando membro a membro estas igualdades, obteremos:
sen(a + b)+ sen(a - b) = 2.sen a . cos b.
Fazendo
a + b = p
a - b = q
teremos, somando membro a membro:
2a = p + q, de onde tiramos a = (p + q) / 2
Agora, subtraindo membro a membro, fica:
2b = p - q, de onde tiramos b = (p - q) / 2
Daí então, podemos escrever a seguinte fórmula:
Exemplo: sen50º + sen40º = 2.sen45º.cos5º
Analogamente, obteríamos as seguintes fórmulas:
Exemplos:
cos 30º + cos 10º = 2.cos20º.cos10º
cos 60º - cos 40º = -2.sen50º.sen10º
sen 70º - sen 30º = 2.sen20º.cos50º.Paulo Marques - Feira de Santana - BA, nos idos de setembro 1997, com revisão em 30/09/06.
CONTINUAR VOLTAR