|
Um cosseno até difícil de achar, mas a gente acha! |
Considere
o triângulo retângulo ABC
da figura abaixo, de catetos AB e
BC e hipotenusa AC, onde M
é o ponto médio da hipotenusa.
Nestas condições, sabemos que AM = MC e o
segmento BM é a mediana do triângulo em relação
à hipotenusa AC.
Pede-se
resolver as seguintes questões:
1
provar que BM = AM = MC
2
supondo que a mediana BM seja igual à média
geométrica dos catetos AB e BC, calcule o valor
do cosseno do ângulo C.
Solução:
1
Pelo teorema dos cossenos TC
poderemos escrever:
BC2 = BM2 +
MC2 2.BM.MC.cos(BMC)
AB2 = BM2
+ AM2 2.BM.AM.cos(BMA)
Como AM = MC, vem,
substituindo na segunda igualdade:
AB2 = BM2
+ MC2 2.BM.MC2.cos(BMA)
Observe que
os ângulos BMC e BMA são suplementares ou seja: BMC +
BMA = 180º .
Ora, sabemos da Trigonometria
que se dois ângulos são suplementares então o
cosseno de um deles é igual ao oposto do cosseno do outro ou
seja: cos(BMA) = - cos(BMC).
Portanto, a igualdade anterior
fica:
AB2 = BM2 + MC2
2.BM.MC.[- cos(BMC)] , ou seja:
AB2 = BM2 +
MC2 + 2.BM.MC.cos(BMC)
Em resumo, temos então as
seguintes igualdades:
BC2 = BM2 + MC2
2.BM.MC.cos(BMC)
AB2 = BM2 + MC2
+ 2.BM.MC.cos(BMC)
Somando membro a membro as duas igualdades
acima, resulta:
BC2 + AB2 = 2.BM2
+ 2.MC2
Vejam que pelo teorema de Pitágoras,
BC2 + AB2 = AC2, ou seja: a soma dos
quadrados dos catetos é igual ao quadrado da
hipotenusa.
Substituindo, fica: AC2 = 2.BM2
+ 2.MC2
Lembrando que AC = 2.MC , pois M é ponto
médio de AC, vem, substituindo:
(2.MC)2 = 2.BM2
+ 2.MC2
Então, 4.MC2 = 2.BM2
+ 2.MC2
Daí, 4.MC2 2.MC2
= 2.BM2
Então, 2.MC2 = 2.BM2
Ou,
MC2 = BM2 e, como MC e BM são
distâncias, são números positivos e, portanto, MC
= BM. Ora, como MC = AM, vem finalmente que MC = AM = BM, o que
queríamos provar.
Conclusão: em
todo triângulo retângulo, o comprimento da mediana em
relação à hipotenusa é igual à
metade da hipotenusa. Convém
guardar esta propriedade
provada acima.
2
- supondo que a mediana
BM seja igual à média geométrica dos
catetos AB e BC, calcule o valor do cosseno do ângulo
C.
Observe novamente o triângulo retângulo
dado:
Nota: sabemos que se x
é a média geométrica de y e z
então x2 = y.z
No presente caso, teremos
pelo enunciado: BM2 = AB.BC
Sejam as medidas BM = m, AB
= b, BC = c e AC = a.
Podemos escrever, pelo resultado obtido no
item 1
acima: m = a / 2.
Substituindo, fica: (a / 2)2 = b.c
\ a2 / 4 = b.c \
a2 = 4.b.c
Pelo teorema de Pitágoras,
sabemos que a2 = b2 + c2 (o quadrado
da hipotenusa é igual à soma dos quadrados dos
catetos).
Substituindo o valor de a2 = 4bc, fica:
4bc
= b2 + c2
Dividindo ambos os membros por bc,
vem:
(4bc / bc) = (b2 + c2) / bc = (b2
/ bc) + (c2 / bc)
Simplificando, fica: 4 = (b / c) + (c
/ b) = (b / c) + 1 / (b / c)
Nota:
c/b = 1/(b/c)
Temos então: 4
= (b/c) + 1/(b/c)
Ora, b / c = AB / BC = tg C
(ver fig. acima) pois num triângulo retângulo, a
tangente de um ângulo é igual à razão
entre o cateto oposto e a hipotenusa.
Substituindo então,
fica:
4 = tg C + 1/tg C
Já sabemos da Trigonometria
que tg C = (sen C) / (cos C)
Substituindo na expressão
acima, fica:
4 = (senC) / (cosC) + 1 / (senC)/(cosC)
E,
portanto, 4 = (senC) / (cosC) + (cosC)/(senC)
Desenvolvendo a
expressão acima, fica:
Nota:
sen2C + cos2C = 1 (Teorema
Fundamental da Trigonometria)
Ficamos então com
a expressão: 4.senC.cosC = 1
Podemos escrever a expressão
acima, da seguinte forma conveniente:
2.(2.senC.cosC) =
1
Lembrando da Trigonometria que
2senC. cosC = sen2C (seno do arco duplo), vem, substituindo:
2.sen2C
= 1 \ sen2C = 1/2
Ora, 1/2
= sen30º
Então, sen2C = sen30º e, como C é
um ângulo agudo, vem que 2C = 30º e, portanto,
C
= 15º
O problema pede para calcular cosC ou
seja, cos15º
Lembrando da Trigonometria
que cos2C = 2cos2C 1, vem, substituindo o valor de
C=15º:
cos(2.15º) = 2.cos215º - 1
cos30º = 2.cos215º - 1
Como cos30º =
Ö3 /2, vem: Ö3
/2 = 2.cos215º - 1 Þ
1 + Ö3 /2 =
2.cos215º
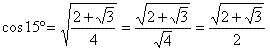
Portanto, cos215º =
(1 + Ö3 /2 ) /2 = (1/ 2) + (Ö3
/4) = (2 + Ö3) /4
Ora, se A2
= B então A = ÖB , quando A é
positivo. Então, da expressão anterior resulta:
Usando uma calculadora (a do Windows serve) e efetuando o cálculo acima encontramos para o cosseno de 15 graus, o valor 0,9659, que pode ser obtido também diretamente através consulta à tábua trigonométrica, que normalmente comparece como apêndice de livros de Matemática do segundo grau.
Portanto
O
problema então, terminou!
Paulo
Marques, Feira de Santana BA , 30 de setembro de 2006
VOLTAR
Mapa do site