Questões da UEFS Resolvidas


UEFS - Universidade Estadual de Feira de Santana

1 – UEFS 97.1) - Os pontos A(-1,4) e B(3,6) determinam um dos diâmetros da circunferência de equação

1) x2 + y2 + 2x - 10y + 16 = 0
2) x2 + y2 + 2x + 10y + 21 = 0
3) x2 + y2 - 2x + 10y - 16 = 0
4) x2 + y2 - 2x - 10y + 21 = 0
5) x2 + y2 + 2x + 10y + 16 = 0

SOLUÇÃO:

Sendo AB um diâmetro, podemos concluir que a metade da distancia entre os pontos A e B é o raio R da circunferência e o ponto médio do segmento AB é o centro. Logo:

O ponto médio C do segmento AB como já sabemos, será a média aritmética das coordenadas de A e B. Então: C(1,5).

A equação reduzida da circunferência será: (x - 1)2 + (y - 5)2 = 5. Desenvolvendo as potências indicadas fica: x2 -2x + 1 + y2 -10y + 25 = 5 \ x2+y2 -2x -10y + 21 = 0 é a equação procurada, e portanto a alternativa correta é a de número (4). 
Revise Geometria Analítica

2 – UEFS 97.1 – O valor de:


é:

1) –1 – i
2) –1 + i
3) i
4) 1 – i
5) 1 + i

SOLUÇÃO:

Observe atentamente a expressão e não será difícil perceber que:
- 2 – i = - (2 + i) e 3 – i = - (i – 3)

Logo, substituindo vem:

Simplificando o numerador e denominador da expressão acima vem:

Z = (-5 + 5i) / 5 = -1 + i o que nos leva a dizer que a alternativa correta é a de número (2).

Lembretes para entender a solução acima:

1) Para dividir dois números complexos basta multiplicar o numerador pelo conjugado do denominador.

2) O conjugado de z = a+bi é w = a – bi.

3) Toda potência de expoente par é positiva; daí é que [-(i-3)]42 = (i-3)42   e,
analogamente    [-(2+i)]52 = (2+i)52.

4) Como i2 = - 1 (i = unidade imaginária), é óbvio que – i2 = -(-1) = +1.

Revise Números Complexos.

3 – UEFS 97.1 – O valor de x real, tal que log3(4x+7) = 5, é:
1) 5
2) 28
3) 59
4) 118
5) 236

SOLUÇÃO:

Sabemos da definição de logaritmo que: 
Se logaN = x , então teremos necessariamente que ax = N
Logo, no problema dado podemos escrever:
35 = 4x+7 Þ 243 = 4x+7 Þ 243 – 7 = 4x.
Portanto 236 = 4x de onde conclui-se que x = 236/4 = 59. 
Logo, a alternativa correta é a de número (3).
Revise Logaritmos.

4 – UEFS 97.1 – Numa P. A. em que o décimo termo é 83 e a razão é (-2), o terceiro termo é:

1) 79
2) 87
3) 91
4) 97
5) 101

SOLUÇÃO: 

A fórmula generalizada do termo geral de uma progressão aritmética é dada por aj = ak + (j-k).r , onde aj = termo de ordem j ou j-ésimo termo da P.A. e ak = termo de ordem k ou k-ésimo termo da P.A.
Poderemos escrever então, com relação à questão dada:
a10 = a3 + (10-3).(-2) onde (-2) é a razão da P.A.
Substituindo os valores conhecidos, vem:
83 = a3 +7(-2) Þ 83 = a3 – 14 Þ a3 = 83+14 = 97, que é o terceiro termo procurado. 
Portanto, alternativa de número (4).
Revise Progressões.

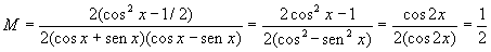
5 – UEFS 96.1 – A expressão simplificada de

é:

1) (1/2).tgx
2) 1/2
3) tgx
4) 1
5) 2.tgx

SOLUÇÃO: 

A melhor maneira de resolver este problema e a mais rápida é multiplicar numerador e denominador por 2, pois com isto aparecerá no numerador o cosseno do arco duplo, senão vejamos:

Portanto, a alternativa correta é a de número (2).
Lembretes para entender a solução:

1) São válidas as seguintes fórmulas para o cosseno do dobro de um arco:
cos2x = cos2x – sen2x      (Equação 1)
cos2x = 2cos2x – 1           (Equação 2)
A Equação 2 é obtida da Equação1, substituindo sen2x por 1 – cos2x , já que pela relação fundamental da Trigonometria sabemos que sen2x + cos2x = 1.
Revise Trigonometria.

6 – UEFS 95.1 – O valor real de x que torna a afirmação

verdadeira é:

1) 1
2) 3
3) 6
4) 8
5) 9

SOLUÇÃO:  

Observando atentamente o primeiro membro da equação, concluímos que podemos colocar x3 em evidencia, de onde resulta:
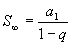
x3 (1 + 1/2 + 1/4 + ... + 1/2n-1 + ... ) = 54

Ora, a soma entre parênteses representa a soma dos termos de uma Progressão Geométrica ilimitada e decrescente, de razão q=1/2 e primeiro termo a1 = 1.
A fórmula da soma dos infinitos termos de uma P.G. decrescente ilimitada de primeiro termo a1 e razão q é dada por:

Substituindo os valores conhecidos, vem:
S¥ = 1/(1-1/2) = 1/(1/2) = 1x(2/1) = 2
Teremos então, substituindo a soma entre parênteses pelo seu valor igual a 2:
x3 . 2 = 54 Þ x3 = 54/2 = 27 = 33 Þ x3 = 33 Þ x = 3. Portanto a alternativa correta é a de número (2).

7 – UEFS 94.1 – Quantas são as maneiras que um professor pode escolher um ou mais estudantes de um grupo de seis estudantes?

1) 72
2) 70
3) 65
4) 64
5) 63

SOLUÇÃO:

Observe que a expressão "escolher um ou mais estudantes" equivale a "escolher 1 ou escolher 2 ou escolher 3 ou escolher 4 ou escolher 5 ou escolher 6 estudantes(todos).

Trata-se evidentemente de um problema de Análise Combinatória, mas neste caso poderemos utilizar um raciocínio direto da seguinte forma:

Como o enunciado diz que serão escolhidos 1 ou 2 ou 3 ou 4 ou 5 ou 6 estudantes de um grupo de 6, percebemos que em realidade, queremos determinar o número de subconjuntos de um conjunto de 6 elementos, excetuando-se o conjunto vazio(correspondente a um grupo com zero estudantes!). 
Sabemos que se um conjunto possui n elementos então ele possui 2n subconjuntos
Logo, em um conjunto de 6 elementos teremos 26 = 64 subconjuntos (incluindo o conjunto vazio), pois sabemos que o conjunto vazio é subconjunto de qualquer conjunto). Mas, neste caso, teremos que subtrair o conjunto vazio (sem estudantes) e resulta: 64 – 1 = 63, que é a resposta do problema. Logo, alternativa (E).

Paulo Marques, Feira de Santana - BA - arquivo revisado em 08/09/2001.


VOLTAR