Geometria Analítica I

1 - Introdução

A Geometria Analítica é uma parte da Matemática , que através de processos particulares , estabelece as relações existentes entre a Álgebra e a Geometria. Desse modo , uma reta , uma circunferência ou uma figura podem ter suas propriedades estudadas através de métodos algébricos .
Os estudos iniciais da Geometria Analítica se deram no século XVII , e devem-se ao filósofo e matemático francês René Descartes (1596 - 1650), inventor das coordenadas cartesianas (assim chamadas em sua homenagem), que permitiram a representação numérica de propriedades geométricas. No seu livro Discurso sobre o Método, escrito em 1637, aparece a célebre frase em latim "Cogito ergo sum" , ou seja: "Penso, logo existo".

1.1 - Coordenadas cartesianas na reta

Seja a reta r na Fig. abaixo e sobre ela tomemos um ponto O chamado origem. 
Adotemos uma unidade de medida e suponhamos que os comprimentos medidos a partir de O, sejam positivos à direita e negativos à esquerda.

O comprimento do segmento OA é igual a 1 u.c (u.c = unidade de comprimento). É fácil concluir que existe uma correspondência um a um (correspondência biunívoca) entre o conjunto dos pontos da reta e o conjunto R dos números reais. Os números são chamados abscissas dos pontos. Assim, a abscissa do ponto A’ é -1, a abscissa da origem O é 0 (zero), a abscissa do ponto A  é 1, etc. A reta r é chamada eixo das abscissas.

1.2 - Coordenadas cartesianas no plano

Com o modo simples de se representar números numa reta, visto acima, podemos estender a idéia para o plano, basta que para isto consideremos duas retas perpendiculares que se interceptem num ponto O, que será a origem do sistema. Veja a Fig. a seguir:

Dizemos que a é a abscissa do ponto P e b é a ordenada do ponto P. 
O eixo OX é denominado eixo das abscissas e o eixo OY é denominado eixo das ordenadas. 
O ponto O(0,0) é a origem do sistema de coordenadas cartesianas.
Os sinais algébricos de a e b definem regiões do plano denominadas QUADRANTES. 
No 1º quadrante, a e b são positivos, no 2º quadrante, a é negativo e b positivo, no 3º quadrante, ambos são negativos e finalmente no 4º quadrante a é positivo e b negativo.

Observe que todos os pontos do eixo OX tem ordenada nula e todos os pontos do eixo OY tem abscissa nula. Assim, dizemos que a equação do eixo OX é y = 0 e a equação do eixo OY é  x = 0. 
Os pontos do plano onde a = b, definem uma reta denominada bissetriz do 1º quadrante, cuja equação evidentemente é y = x. 
Já os pontos do plano onde a = -b (ou b = - a), ou seja, de coordenadas simétricas, definem uma reta denominada bissetriz do 2º quadrante, cuja equação evidentemente é y = - x. 
Os eixos OX e OY são denominados eixos coordenados.

Exercícios Resolvidos

1) Se o ponto P(2m-8 , m) pertence ao eixo dos y , então :

a) m é um número primo
b) m é primo e par
c) m é um quadrado perfeito
d) m = 0
e) m
< 4

Solução: 
Se um ponto pertence ao eixo vertical (eixo y) , então a sua abscissa é nula. 
Logo, no caso teremos 2m - 8 = 0, de onde tiramos m = 4 e portanto a alternativa correta é a letra C, pois 4 é um quadrado perfeito (4 = 22).

2) Se o ponto P(r - 12 , 4r - 6) pertença à primeira bissetriz , então podemos afirmar que :

a) r é um número natural
b) r = - 3
c) r é raiz da equação x3 - x2 + x + 14 = 0
d) r é um número inteiro menor do que - 3 .
e) não existe r nestas condições .

Solução: 
Os pontos da primeira bissetriz (reta y = x), possuem abscissa e ordenada iguais entre si. Logo, deveremos ter: r - 12 = 4r - 6 de onde conclui-se r = - 2.  Das alternativas apresentadas, concluímos que a correta é a letra C, uma vez que -2 é raiz da equação dada. Basta substituir  x  por   -2  ou seja: (-2)3 - (-2)2 + (-2) + 14 = 0 o que confirma que   -2 é raiz da equação.

3) Se o ponto P(k , -2) satisfaz à relação x + 2y - 10 = 0 , então o valor de k 2 é :

a) 200
b) 196
c) 144
d) 36
e) 0

Solução: 
Fazendo x = k e y = -2 na relação dada, vem: k + 2(-2) - 10 = 0. 
Logo, k = 14 e portanto k2 = 142 = 196. 
Logo, a alternativa correta é a letra B.

2 - Fórmula da distância entre dois pontos do plano cartesiano

Dados dois pontos do plano A(Xa,Ya) e B(Xb,Yb) , deduz-se facilmente usando o teorema de Pitágoras a seguinte fórmula da distancia entre os pontos A e B:

Esta fórmula também pode ser escrita como: d2AB = (Xb - Xa)2 + (Yb - Ya)2 , obtida da anterior, elevando-se ao quadrado (quadrando-se) ambos os membros.

Exercício Resolvido

O ponto A pertence ao semi-eixo positivo das ordenadas ; dados os pontos B(2 , 3) e C(-4 ,1) , sabe-se que do ponto A se vê o segmento BC sob um ângulo reto . Nestas condições podemos afirmar que o ponto A é :

a) (3,0)
b) (0, -1)
c) (0,4)
d) (0,5)
e) (0, 3)

Solução: 
Como do ponto A se vê BC sob um ângulo reto, podemos concluir que o triângulo ABC é retângulo em A. Logo, vale o teorema de Pitágoras: o quadrado da hipotenusa é igual à soma dos quadrados dos catetos. Portanto, podemos escrever: AB2 + AC2 = BC2 (BC é a hipotenusa porque é o lado que se opõe ao ângulo reto A). Da fórmula de distância, podemos então escrever, considerando que as coordenadas do ponto A são (0,y) , já que é dado no problema que o ponto A está no eixo dos y e portanto sua abscissa é nula:

AB2 = ( 0 - 2 )2 + ( y - 3 )2 = 4 + ( y - 3 )2
AC2 = ( 0 - (-4))2 + ( y - 1)2 = 16 + ( y - 1 )2
BC2 = ( 2 - (-4))2 + ( 3 - 1 )2 = 40
Substituindo, vem: 4 + ( y - 3 )2 + 16 + ( y - 1 )2 = 40
\ ( y - 3 )2 + ( y - 1)2 = 40 - 4 - 16 = 20

Desenvolvendo, fica: y2 - 6y + 9 + y2 - 2y + 1 = 20 \ 2y2 - 8y - 10 = 0 \ y2 - 4y - 5 = 0 , que resolvida, encontramos y = 5 ou y = -1. A raiz y = -1 não serve, pois foi dito no problema que o ponto A está no semi-eixo positivo . Portanto, o ponto procurado é A(0,5), o que nos leva a concluir que a alternativa correta é a letra D.

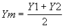
3 - Ponto médio de um segmento

Dado o segmento de reta AB , o ponto médio de AB é o ponto M
Î AB tal que AM = BM . 
Nestas condições, dados os pontos A(x1 , y1) e B(x2 , y2) , as coordenadas do ponto médio 
M(xm , ym) serão dadas por:

Exercício Resolvido

Sendo W o comprimento da mediana relativa ao lado BC do triângulo ABC onde A(0,0), B(4,6) e C(2,4) , então W2 é igual a:

a) 25
b) 32
c) 34
d) 44
e) 16

Solução: 
Chama-se mediana de um triângulo relativa a um lado, ao segmento de reta que une um vértice ao ponto médio do lado oposto. Assim, a mediana relativa ao lado BC será o segmento que une o ponto A ao ponto médio de BC. Das fórmulas de ponto médio anteriores, concluímos que o ponto médio de BC será o ponto M( 3, 5). Portanto, o comprimento da mediana procurado será a distância entre os pontos A e M. Usando a fórmula de distância encontramos AM =
Ö 34 ou seja raiz quadrada de 34. Logo, W = Ö 34 e portanto W2 = 34, o que nos leva a concluir que a resposta correta está na alternativa C.

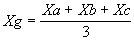
4 - Baricentro de um triângulo

Sabemos da Geometria plana , que o baricentro de um triângulo ABC é o ponto de encontro das 3 medianas . Sendo G o baricentro , temos que AG = 2 . GM onde M é o ponto médio do lado oposto ao vértice A (AM é uma das 3 medianas do triângulo). 
Nestas condições , as coordenadas do baricentro G(xg , yg) do triângulo ABC onde A(xa , ya) , B(xb , yb) e C(xc , yc) é dado por :

Conclui-se pois que as coordenadas do baricentro do triângulo ABC, são iguais às médias aritméticas das coordenadas dos pontos 
A , B e C
.

Assim, por exemplo, o baricentro (também conhecido como centro de gravidade) do triângulo ABC onde A(3,5) , B(4, -1) e C(11, 8) será o ponto G(6, 4). Verifique com o uso direto das fórmulas.

Exercício resolvido

Conhecendo-se o baricentro B(3,5), do triângulo XYZ onde X(2,5) , Y(-4,6) , qual o comprimento do segmento BZ?

Solução:
Seja o ponto Z(a,b). Temos, pela fórmula do baricentro:
3 = (2 - 4 + a) / 3  e   5 = (5 + 6 + b) / 3
Daí, vem que  a = 11 e b = 4. O ponto Z será portanto Z(11, 4).
Usando a fórmula da distância entre dois pontos, lembrando que B(3,5) e Z(11,4),  encontraremos  BZ = 651/2 u.c.  (u.c. = unidades de comprimento).

Agora resolva este:

Os pontos A(m, 7), B(0, n) e C(3, 1) são os vértices de um triângulo cujo baricentro é o ponto
G(6, 11). Calcule o valor de m2 + n2.
Resposta: 850

Paulo Marques - 18 de novembro de 2000 
VOLTAR
CONTINUAR