|
VPL - Valor Presente Líquido - Analisando investimentos |
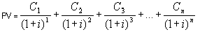
Considere um fluxo de caixa como o indicado na figura a seguir, onde o investimento Co produz as receitas C1, C2, C3, ... , Cn, nos períodos 1, 2, 3, ... , n respectivamente, a uma determinada taxa de juros i por período considerado. A taxa i é a taxa de juros da operação financeira ou também conhecida como a taxa de retorno do investimento.

Já sabemos que o valor presente -
PV (Present Value) das receitas C1, C2, C3, ... , Cn é
dado por:
![]()
Chama-se
Valor Presente Líquido - VPL , à diferença
PV - Co ou seja: VPL = PV - Co
A
coisa funciona assim: para análise da rentabilidade
de um certo investimento, o empresário fixa uma taxa de
retorno do investimento que seja aceitável do seu ponto
de vista e calcula o VPL usando esta taxa de juros esperada.
Um investimento somente será atrativo quando o valor
presente - PV das receitas obtidas ( C1,
C2, C3, ... , Cn ) for superior ao investimento inicial Co, e,
portanto, deveremos ter VPL > 0, para que o investimento seja
considerado atrativo ou rentável.
Neste caso se VPL > 0,
conclui-se que a taxa efetiva de retorno será seguramente
maior do que a taxa de retorno do investimento previamente fixada
, o que significa que o investimento é rentável.
Se
VPL < 0, diz-se que o investimento não é rentável,
pois neste caso, a taxa efetiva de retorno será menor do que a
taxa de retorno do investimento previamente fixada.
Se VPL = 0,
temos uma espécie de investimento sem lucro. Neste caso, a
taxa de juros i é denominada taxa interna de retorno
- TIR. Nas calculadoras financeiras HP 12C, a taxa interna de
retorno - TIR é obtida através da tecla IRR.
Nota: nas calculadoras financeiras HP 12C o valor
presente líquido - VPL é obtido através da tecla
NPV que significa Net Present Value.
Exercício
resolvido:
Uma indústria pretende adquirir
equipamentos no valor de US$55000,00, que deverão proporcionar
receitas líquidas a partir de 2005 conforme tabela a seguir:
Ano
Receitas líquidas (US$)
2005
15500
2006
18800
2007
17200
2008
17200
2009
17200
2010
13500
Sabendo-se
que o valor de revenda dos equipamentos no ano 2010 é estimado
em US$9000,00 e que a taxa de retorno esperada é igual a 21%
a. a. , pede-se analisar se o investimento planejado é
rentável.
Solução:
Temos:
Investimento
inicial = Co = 55000
Receitas: C1 = 15500, C2 = 18800, C3 = C4 =
C5 = 17200; no sexto ano a receita será C3 = 13500 + 9000 =
22500, pois teremos 13500 do ano mais o preço de revenda
9000.
Teremos então:
VPL para uma taxa de juros i =
21 % a. a. = 21 /100 = 0,21 a. a. \
1 + i = 1 + 0,21 = 1,21
Substituindo na fórmula do VPL
vem:
VPL = VP - Co =
= 15500 / 1,211 + 18800
/ 1,21 2 + 17200 / 1,21 3 + 17200 / 1,214
+ 17200 / 1,215 + 22500 / 1,21 6 - 55000
Usando uma
calculadora científica (a do windows serve), teremos:
VPL =
12809,92 + 12840,65 + 9708,95 + 8023,93 + 6631,34 + 7169,19 - 55000 = + 2183,98
Ora,
como o Valor Presente Líquido - VPL é um
valor positivo, infere-se que o investimento é rentável
e poderá ser feito, pois a taxa efetiva de retorno será
certamente superior aos 21% a. a. (21% ao ano) esperados pela indústria.
Usando
a calculadora financeira HP 12C , a seq��ncia de comandos seria:
f
CLEAR reg
55000
CHS g Cfo
15500
g CFj
18800
g Cfj
17200
g Cfj
17200
g Cfj
17200
g CFj
22500
g Cfj
RCL n (aqui vai aparecer no visor o n�mero 6, pois s�o 6 valores no fluxo de caixa)
21 i (lembre-se que a taxa i � 21%)
f NPV (teclar f e em seguida NPV)
Aparecerá
no visor da calculadora o valor 2.183,9868
Agora
resolva este:
Resolva
o problema anterior, considerando uma taxa de retorno esperada igual
a 25% a. a.
Resposta:
NPV = - 3.182,1440 (como o Valor Presente Líquido é
negativo, o investimento não seria rentável pois neste
caso, a taxa efetiva de retorno seria menor do que os 25 % a. a.
esperados pela indústria).
Paulo
Marques, 07 de novembro de 2004, Feira de Santana - BA