Um breve encontro das potências com os fatoriais

Dado o número fracionário   

onde n e p são números inteiros positivos, podemos afirmar que  o valor de n + p , para a condição    

é:
a) 7
b) 8
c) 9
d) 10
e) 11

Solução:

Observe o denominador da fração F:  2.4.6.8. ... . 2n . 2.4.6.8. ... . 2p

Ele pode ser reescrito como:
(2.1. 2.2 . 2.3 . 2.4 . ... . 2.n) . (2.1 . 2.2 . 2.3 . 2.4 . ... . 2.p)

Olhando atentamente o primeiro fator (em vermelho), vemos que existe um número 2 que se repete n vezes (2.2.2.2 ... .2) e portanto pode ser escrito na forma de potencia 2n ; e o produto dos termos restantes (1.2.3.4. ... .n) é exatamente o fatorial de n,  ou seja: n! = 1.2.3.4. ... . n. 
Portanto, repetindo as mesmas considerações para o fator (em azul), o denominador poderá ser escrito finalmente como:

(2.1. 2.2 . 2.3 . 2.4 . ... . 2.n)
. (2.1 . 2.2 . 2.3 . 2.4 . ... . 2.p) = 2n . n! . 2p . p!

Substituindo na fração F dada, e simplificando os termos comuns, fica:

 

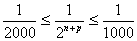
Substituindo na desigualdade proposta no enunciado, fica: 

Lembrando que 2n. 2p = 2n+p  (produto de potencias de mesma base) , vem substituindo: 

Para achar o valor de n + p vamos considerar o seguinte raciocínio:

Observe que ... 29 = 512, 210 = 1024 , 211 = 2048 , ... e assim sucessivamente.
Como 2n + p  é uma potencia de base 2 de expoente positivo (já que n e p são inteiros positivos), infere-se (deduz-se) que o único resultado que satisfaz à dupla desigualdade acima é 210 = 1024 e, portanto, concluímos que a soma  n + p é igual a 10, o que nos leva tranquilamente à alternativa D.

Justificativa: 

Agora resolva este:  Dado o número fracionário 

onde m e k são números inteiros positivos, podemos afirmar que  o valor de m + k , para a condição 

é igual a:
a) 9
b) 10
c) 11
d) 12
e) 13

Resposta: alternativa C;  m + k = 11.
Paulo Marques, 1º de maio de 2006 - Feira de Santana - BA.
VOLTAR
CONTINUAR