Binômio de Newton Terceiro na UEFS em 2006

UEFS 2006-1 – O coeficiente de x4 no polinômio P(x) = (x + 1) (2x –1)6 é igual a

a) 48
b) 50
c) 64
d) 76
e) 80

UEFS - Universidade Estadual de Feira de Santana

Solução:

Supondo x ¹ - 1, teremos x + 1 ¹ 0 e, portanto, poderemos dividir ambos os membros do polinômio
P(x) por (x + 1), resultando o polinômio Q(x) seguinte:
Q(x) = P(x) / (x + 1) = (2x – 1)6

Veja bem : temos o binômio de Newton da forma (a + b)n ou seja (2x – 1)6 onde a = 2x, b = - 1 e n = 6.

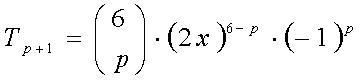
Aplicando a fórmula do termo geral de um binômio de Newton ao binômio de Newton Q(x) = (2x – 1)6 , onde a = 2x, b = - 1 e n = 6, vem:

Repare que P(x) = (x + 1) . Q(x) = x .Q(x) + 1. Q(x) = x .Q(x) + Q(x)

Observe que como x.x3 = x4, teremos que calcular o termo em x3 em Q(x) [relativo à primeira parcela x .Q(x) ] e o termo em x4 em Q(x) [relativo à segunda parcela Q(x)].
I) cálculo do termo em x3 :
Fazendo p = 3, na expressão do termo geral, fica:





Observe que este termo T3+1 = T4 = -160x3 ao ser multiplicado por x, resultará –160x4 , cujo coeficiente é – 160.

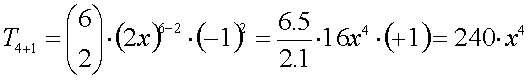
II) cálculo do termo em x4 :
Fazendo p = 4 na fórmula do termo geral, vem:



Observe que este termo T4+1 = T5 = 240x4 possui coeficiente 240.
Então, os coeficientes dos termos em x4 são iguais a –160 e 240 . A soma dos coeficientes procurada será então igual a –160 + 240 = 80. Logo, a alternativa correta é a de letra E.


Paulo Marques, 10 de fevereiro de 2006 - Feira de Santana - BA.

VOLTAR

CONTINUAR