Binômio de Newton Primeiro
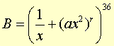
Considere o binômio
![]()
Sabendo-se que o termo independente de x é o quinto termo, pede-se determinar o valor de r e o termo independente de x.
Solução:
Podemos escrever:
![]()
Já sabemos que a fórmula do termo geral do desenvolvimento do binômio (w + b)n é dada por:
![]()
Onde temos o número binomial
![]()
e o fatorial n! = 1.2.3.4.5. ... .n
Substituindo os valores de w = 1/x , b = ar.x2r e n = 36, fica:
![]()
Para que o termo seja independente de x, o expoente de x deve ser nulo. Logo, deveremos ter8r – 32 = 0, de onde tiramos r = 4.
Paulo Marques - Feira de Santana - BA - 08 de dezembro de 2002.
O quinto termo T5 será então igual a:
![]()
Observe que x8.4-32 = x32-32 = x0 = 1.
Portanto, r = 4 e o termo independente de x é igual a 58905 a16.