Gabriel, o jardineiro

Em um caminho retilíneo há um canteiro formado por 51 roseiras, todas enfileiradas ao longo do caminho. A distancia entre quaisquer duas roseiras consecutivas é 1,5 m. Nesse caminho, há ainda uma torneira a 10 m da primeira roseira.
Gabriel decide molhar todas as roseiras desse caminho. Para isso, utiliza um regador que, quando cheio, tem capacidade para molhar três  roseiras. Dessa forma, Gabriel enche o regador na torneira, encaminha-se para a 1ª roseira, molha-a, caminha até a 2ª roseira, molha-a e, a seguir, caminha até a 3ª roseira, molhando-a também, esvaziando o regador. Cada vez que o regador fica vazio, Gabriel volta à torneira, enche o regador e repete a rotina anterior para as três  roseiras seguintes. No momento em que acabar de regar a última das roseiras, quantos metros Gabriel terá percorrido ao todo desde que encheu o regador pela primeira vez?

Nota: este arquivo foi enviado para solução por um ilustre visitante do site.

Solução:

Sejam r1, r2, r3,... , r48, r49, r50 e r51 as 51 roseiras. Veja o esquema a seguir:
Nota: nomear as roseiras desta forma, lembra-me a história dos três porquinhos: considere três porquinhos P1, P2 e P3 numa floresta!. Rarará... ...


Nota: esta figura veio anexa ao arquivo que o nosso amigo internauta e visitante do site me enviou para resolução; não fui autorizado por ele a publicar o seu nome, mas, ele se auto-intitulou  "concurseiro". Rarará ... ...

Podemos observar que:

a) quando Gabriel tiver molhado a roseira r48, o regador estará vazio; ele terá que voltar para enchê-lo, retornar à roseira r48 e avançar, molhando as roseiras r49, r50 e r51; aí, o regador estará novamente vazio, mas, ele não terá mais que retornar para enchê-lo novamente, uma vez que o objetivo de molhar as 51 roseiras terá sido alcançado.

b) todos os movimentos de Gabriel até a roseira r48 são de ida e volta. Como são três roseiras a cada movimento, teremos 48/3 = 16 movimentos de ida e volta. Após isto, haverá mais um movimento (aquele da finalização da tarefa), totalizando 17 movimentos, sendo 16 de ida e volta à origem e um, apenas de ida.  Observe que estes 17 movimentos podem também ser inferidos do que segue: 51 roseiras distribuídas em conjuntos de três , resultará, nas condições descritas no enunciado em 51/3 = 17 movimentos.

Então, os 16 movimentos iniciais de Gabriel poderão ser assim descritos:
1º movimento (de ida e volta): da torneira até a roseira r1: 10 + 2.1,5 = 13 m
2º movimento (de ida e volta): 13 + 3.1,5 = 17,5 m
3º movimento: (de ida e volta): 17,5 + 3.1,5 = 22 m
4º movimento: (de ida e volta): 22 + 3.1,5 = 26,5 m
5º movimento: (de ida e volta): 26,5 + 3.1,5 = 31 m
e assim, sucessivamente, até o  16º movimento (também de ida e volta).

Como esses 16 movimentos são de ida e volta, poderemos escrever a seguinte seqüência  numérica das distancias percorridas a cada movimento:
<sn> : (13; 13; 17,5; 17,5; 22; 22; 26,5; 26,5; 31; 31; ...)
Dá para perceber de relance, que  a seqüência numérica acima poderá ser decomposta em duas seqüências iguais a saber:
<xn>: (13; 17,5; 22; 26,5; 31; ...) e <yn> = (13; 17,5; 22; 26,5; 31; ...)
Observem que ambas as seqüências <xn> e <yn> são iguais e que ambas são Progressões AritméticasPA’s  de razão  4,5 (caso você visite este link, para retornar, clique em VOLTAR no seu navegador).

Efetuando a soma dos 16 termos de cada uma dessas PA’s, teremos determinado a soma total dos 16 movimentos de ida e volta.

Então,

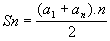
Já sabemos que a soma dos n primeiros termos de uma PA de primeiro termo a1, n-ésimo termo an  é dada por

.

Como n = 16, vem que a16 = a1 + (n – 1).r = 13 + (16 – 1).4,5 = 80,5
Substituindo os valores conhecidos na fórmula da soma acima, teremos:

S16 = (13 + 80,5).16/2 = (93,5).8 = 748 m

Como são duas progressões iguais, a distancia total dos 16 movimentos de ida e volta será igual ao dobro ou seja:
D = 2.748 = 1496 m

Agora, observe que a distancia calculada acima, refere-se ao total das movimentações de ‘ida e volta’; então, ao final desse 16
º movimento, Gabriel estará no início do percurso, junto à torneira; lembre-se que ao regar a roseira r48 ,  o regador ficou vazio e ele teve que voltar! Portanto, falta acrescentar a distancia da torneira até a última roseira r51. Ora, entre a roseira r1 e a roseira r48 existem 47 espaços iguais a 1,5 m , totalizando 47.1,5 = 70,5 m .
Logo, a distancia d do último movimento será igual a d = 70,5 + 10 + 3.(1,5) = 85 m
Nota: 10 m é a distancia da torneira à roseira
r1 , e 3.1,5 as três últimas distancias percorridas de r48 a r51 .
Finalmente, a distancia total percorrida será igual a y = D + d  = 1496 + 85 = 1581 m

Portanto, Gabriel, o jardineiro, terá percorrido 1581 m

Agora, resolva este:
Vamos botar o Gabriel para trabalhar mais!

Em um caminho retilíneo há um canteiro formado por 51 roseiras, todas enfileiradas ao longo do caminho. A distancia entre quaisquer duas roseiras consecutivas é 10 m. Nesse caminho, há ainda uma torneira a 100 m da primeira roseira.
Gabriel decide molhar todas as roseiras desse caminho. Para isso, utiliza um regador que, quando cheio, tem capacidade para molhar três  roseiras. Dessa forma, Gabriel enche o regador na torneira, encaminha-se para a 1ª roseira, molha-a, caminha até a 2ª roseira, molha-a e, a seguir, caminha até a 3ª roseira, molhando-a também, esvaziando o regador. Cada vez que o regador fica vazio, Gabriel volta à torneira, enche o regador e repete a rotina anterior para as três  roseiras seguintes. No momento em que acabar de regar a última das roseiras, quantos metros Gabriel terá percorrido ao todo desde que encheu o regador pela primeira vez?

Resposta
: 11640 m

Paulo Marques - 17 de fevereiro de 2008 - Feira de Santana - BA 

VOLTAR