Área de uma rosácea de oito pétalas
A solução do problema a seguir, depende de noções de Cálculo Integral, tópico de Matemática Superior a ser visto na Universidade 
nos cursos regulares da área de Ciências Exatas. Se você ainda não estudou Cálculo Integral, apenas aprecie a questão e guarde-a como referencia para revê-la no futuro.

Determine a área da rosácea de 8 pétalas, cuja equação polar é r = a.cos4q.

SOLUÇÃO:

A equação polar da rosácea de 8 folhas é r = a.cos4q.
Observe por exemplo na figura acima, que para
q = 0, cos4q = cos 0 = 1 e, por conseguinte, r = a.1 = a.
Para
q = p/8, cos4q = cos 4p/8 = cos p/2 = 0 e, em consequência, r = a.0 = 0.

Pela figura, vê-se facilmente que basta calcular a área da meia pétala limitada entre 0 e p/8 radianos e multiplicar o resultado por 16 para obter a área total, uma vez que as 16 semi-pétalas formam a rosácea de 8 pétalas.

Já sabemos do Cálculo Integral, que a área de um curva
r = f(
q) dada em coordenadas polares, delimitada entre q = a e q = b é dada pela fórmula abaixo:

 

Assim, substituindo os valores conhecidos, fica:

Teremos:

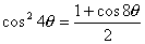
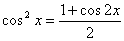
Já sabemos da Trigonometria que: 

Portanto,

Substituindo na integral, fica:

Calculando a integral definida do segundo membro, lembrando que:

Obteremos S = a2.p/32
A área total será então St = 16S = a2.
p/2

Portanto, a área da rosácea de oito pétalas mostrada na figura dada no problema é igual a
St =
pa2/2.

Paulo Marques, 16/06/2001 – Feira de Santana – BA - editado em 02 de abril 2008.

VOLTAR