Limites de funções - Exercícios I

Calcular o limite seguinte:



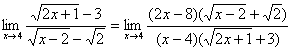
Solução:
Observe que substituindo x por 4, obteremos a indeterminação 0/0. Temos que “levantar” esta indeterminação, usando certos critérios algébricos.

Multipliquemos numerador e denominador pelos fatores racionalizantes do denominador e do numerador.

Teremos então:

Simplificando, obteremos:

Observando que  (2x-8)/(x-4) = 2(x-4)/(x-4) = 2, para x ¹ 4, vem:



Comentários adicionais:

1)Lembre que o fator racionalizante de (Öa - Öb) é (Öa + Öb).

2) 0/0 é um símbolo de indeterminação; neste problema, obtemos o 
valor 2
Ö2/3 para o limite da função dada; outros problemas levarão a outros valores, daí, a designação de indeterminação. O problema proposto a seguir, é um exemplo disto.

Calcule o seguinte limite:

 

Resposta: 5/4

Paulo Marques – Feira de Santana – BA – 25/08/2000.

VOLTAR
CONTINUAR