Há quase 13 anos e uma inusitada lenta lesma

FUVEST 1994 – 1ª FASE – O número real x que satisfaz a equação log2 (12 – 2x) = 2x é:
A) log25
B) log2 Ö 3
C) 2
D) log2Ö 5
E) log23

Solução:

Já sabemos dos logaritmos que:
Se log b M = c então bc = M, para M > 0 e 0 < b ¹ 1.
No presente exercício, como log2 (12 – 2x) = 2x então 2 2x = 12 – 2x , com a condição que 12 – 2x seja positivo e 2x também positivo.

Observe que podemos escrever a igualdade anterior como:
(2x)2 = 12 – 2x
Aqui vemos que 2x aparece nos dois membros da equação; Fazendo 2x = y (chamamos isto de mudança de variável) , teremos:
y2 = 12 – y

Trata-se de uma equação do segundo grau em y.

Teremos:

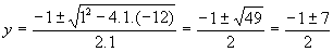
y2 + y – 12 = 0 uma equação da forma ax2 + bx + c = 0 onde a= 1, b =1 e c = -12.

Aplicando a conhecida fórmula atribuída a Bhaskara (matemático hindu do século XII), vem:

Então y’ = 3 e y’’ = - 4.

Observe que a raiz y’’ = - 4 não serve ao problema pois como y = 2x , y deve ser positivo.

Logo, como y = 3, vem que 2x = 3 de onde se conclui inevitavelmente que x = log23, o que nos leva à alternativa E.

Nota: segundo os historiadores da Matemática, a fórmula de Bhaskara era conhecida há 100 anos antes de Bhaskara , descoberta por Shidara, outro matemático hindu. Ninguém entretanto diz: a fórmula de Shidara. Por que? O mundo está cheio de exemplos deste tipo.

Apêndice:

O exercicinho simples mostrado a seguir, foi citado ontem, 22/09/06, num curso que participei em Salvador - "Comunicação Empresarial Eficaz" - ministrado pelo Prof. Carlos Prates - através de um participante que, ao saber que eu era também, professor de Matemática, fez o enunciado, o qual reescrevo de memória:
"Uma lesma lenta tenta, a partir da base, subir num edifício de altura 13 metros. Todos os dias a lesma sobe 3 metros mas, escorrega 2 metros. Em quantos dias a lesma alcançará o topo do edifício?

Vai aí imortalizada na Internet, a solução do probleminha proposto:

Se a lenta lesma sobe 3m e desce 2m a cada dia, ela avança 1m a cada dia. Ora, em 10 dias ela terá avançado 10x1 = 10m. Como o edifício tem 13m, no décimo primeiro dia, a lesma avançará 3m e portanto atingirá 10+3 = 13m. Portanto, em 11 dias, a lenta lesma atingirá o topo.

Claro que "ela" vai escorregar durante a noite!

Este probleminha não é original. Trata-se de um probleminha clássico de Aritmética.
Moral da história: para que serve a ambição de subir, se necessariamente um dia, ainda que remoto, se vai cair?

Paulo Marques, Feira de Santana - BA - 20 de novembro de 2003.
Ampliado e revisado em 23 de setembro de 2006.

VOLTAR