Exercícios Resolvidos VIII


1 – UEFS 94.1 – Sejam a, b e c as raízes da equação 2x3 – 3x2 + x – 4 = 0.
A soma 1/a + 1/b + 1/c é igual a:

A) 1/2
B) 1/4
C) 1
D) –1/2
E) –1/4

Solução:
Ora,

Verificamos que o numerador é o produto das raízes da equação tomadas duas a duas e o denominador é o produto das raízes. Logo, teremos que aplicar as Relações de Girard. Portanto:
bc + ac + ab = 1/2
abc = -(-4)/2 = 2
Reveja as relações de Girard, no capítulo Equações Algébricas .
Portanto 1/a + 1/b + 1/c = (1/2) / 2 = 1/4.
Resposta certa: letra B.

2 – UEFS 94.1 – A cada mês que passa, o valor de certo produto diminui de 35% em relação ao seu valor no mês anterior. Se V for o valor desse produto no primeiro mês, então o seu valor no oitavo mês será:
A) (0,35)7.V
B) (0,35)8.V
C) (0,65)6.V
D) (0,65)7.V
E) (0,65)8.V

Solução:
Poderemos escrever:
1º mês: valor inicial V
2º mês: valor = 65%.V = 0,65.V (Justificativa: diminuiu 35%, conforme enunciado).
3º mês: valor = 0,65.(0,65.V) = (0,65)2.V (Observe que a redução a cada mês é de 35%, e portanto o reajuste é de 65% = 65/100 = 0,65 em relação ao mês anterior).
4º mês: 0,65.(0,65)2.V = (0,65)3.V
..............................................................
Não é difícil perceber que:
8º mês: valor = (0,65)7.V , o que nos leva à alternativa D.

3 – UEFS 95.2 – O número de vértices de um poliedro convexo de sete faces, sendo duas pentagonais e cinco quadrangulares é:

(01) 07
(02) 10
(03) 14
(04) 17
(05) 20

Solução:
Lembremos da célebre Relação de Euler: Num poliedro convexo de A arestas, V vértices e F faces, vale a igualdade: V + F = A + 2.
O problema diz que F = 7. Para o cálculo do número de arestas, teremos:

Nota:
Duas faces pentagonais: 2x5=10 arestas
Cinco faces quadrangulares: 5x4=20 arestas
Total: 10+20 = 30 arestas; temos que dividir por dois, porque cada aresta é contada duas vezes (arestas comuns).
Portanto, pela relação de Euler: V + 7 = 15 + 2 Þ V = 10 e portanto, a resposta certa á a de número (02).

4 - UEFS 94.2 – O produto das soluções da equação (43-x)2-x = 1, é:

(01) 0
(02) 1
(03) 4
(04) 5
(05) 6

Solução:
Como 1 = 40 , vem: (43-x)2-x = 40Þ (3-x).(2-x) = 0 Þ 3 - x =0 ou
2 – x = 0 , de onde conclui-se que x=3 ou x=2; Portanto o produto das raízes vale (3x2=6) = 6. Portanto a alternativa correta é a de número (05).

5 – UEFS 92.2 - Se

então:

(A) –2 £ y £ 2
(B) –1 £ y £ 1
(C) 1/3 £ y £ 4/3
(D) 2/3 £ y £ 2
(E) 2 £ y £ 6

Solução:
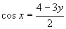
Temos: 3.y = -2.cosx + 4 Þ 4 – 3y = 2.cosx
Explicitando cosx em função de y vem:

Ora, sabemos que -1 £ cosx £ 1. Portanto, também poderemos escrever:

Portanto, a alternativa correta é a de letra D.
 

Nota: Quando multiplicamos ambos os membros de uma desigualdade por um número negativo, ela muda de sentido. Falo isso para você entender porque o fato de – 6 £ - 3y £ - 2 implica em
6
³ 3y ³ 2.

6 – UEFS 91.2 – A equação x2 + y2 - 4x – 5 = 0 define um conjunto de pontos eqüidistantes do ponto:

(A) (0,5)
(B) (0,3)
(C) (-2,0)
(D) (0,2)
(E) (2,0)

Solução:
A equação dada é de uma circunferência. Ora, o único ponto eqüidistante de todos os pontos de uma circunferência é exatamente o seu centro. Logo, resolver este problema, eqüivale a determinar o centro da circunferência cuja equação foi dada.
Sabemos que a equação de uma circunferência de centro (x0,y0) e raio R é dada por:
(x – x0)2 + (y – y0)2 = R2 .
Vamos dar um tratamento algébrico à equação dada, de forma a identificar   x0,   y0 e   R.

Temos:
Equação dada: x2 + y2 – 4x – 5 = 0
Podemos escrever: x2 – 4x + 4 – 4 + y2 = 5
Observe que + 4 – 4 = 0 e, portanto, não altera a expressão, já que 0(zero) é elemento neutro da adição.
Temos então: (x – 2)2 – 4 + (y – 0)2 = 5
Portanto: (x – 2)2 + (y – 0)2 = 9 = 32
Comparando com a equação (x – x0)2 + (y – y0)2 = R2 , concluímos que:
x0 = 2 e y0 = 0 , e mais: R = 3. 
Como o problema solicitou apenas o centro da circunferência, concluímos que o centro é o ponto (2, 0) e, portanto a alternativa correta é a letra E.

Paulo Marques - Feira de Santana - BA - 20 de novembro de 1997


VOLTAR