| Exercícios Resolvidos VI |
1) FEI /1968 - A igualdade 7x + 7x-1 = 8x se verifica:
a) apenas para valores irracionais de x
b) apenas para x = 1
c) para x=0 e x=1
d) para x=1 e x = -1
e) nenhuma das respostas anterioresSolução:
Podemos escrever, colocando 7x em evidencia:
7x(1 + 1/7) = 8x
7x(8/7) = 8x![]()
Portanto, alternativa correta: B2) Se a função f é tal que f(senx) = (senx)2 , então f(x) é igual a:
a) cosx
b) tgx
c) x2
d) 1
e) cosecxSolução:
Seja senx = t. Vem: f(t) = t2 . Logo, f(x) = x2 e, portanto, alternativa C.
3) Se sen4x + cos4x = 5/8 e 45º < x < 90º então calcule sen2x.
Solução:
Considere a relação fundamental da Trigonometria:
sen2x + cos2x =1
Quadrando ambos os membros, vem:
(sen2x + cos2x)2 = 12
sen4x + 2.sen2x.cos2x+cos4x = 1
sen4x + cos4x = 1 � 2sen2xcos2x
sen4x + cos4x = 1 � 2(senx.cosx)2
5/8 = 1 � 2(senx.cosx)2
Mas sen2x = 2senx.cosx Þ senx.cosx = (sen2x) /2
Substituindo o valor de senx.cosx , vem:
5/8 = 1 - 2[((sen2x) /2]2
5/8 � 1 = - 2[(sen22x) / 4]
5/8 � 1 = - (sen22x) / 2
1 � 5/8 = (sen22x) /2
3/8 = (sen22x) /2 Þ 6/8 = 3/4 = sen22x Þ sen2x = ± Ö 3 /2
Ora, como o enunciado do problema nos informa que
45º < x < 90º, concluímos que 90º < 2x < 180º e portanto, o arco 2x é do 2º quadrante, onde sabemos que o seno é positivo. Logo, a solução negativa não serve e concluímos que o valor de sen2x é Ö 3 /2.
Portanto, sen2x = + Ö 3 / 2.4) Se 102y = 25 então calcule 10 �y .
Solução:
Podemos escrever: (10y)2 = 25 Þ 10y = 5, pois 52 = 25 e 10y > 0.
10y = 5 Þ (10y) �1 = 5 �1Þ 10 �y = 1/5, pois 5-1 = 1 / 51 = 1/5.
Resp: 1/55) POLI 1959) Matemática não tem idade!
Determine o domínio da função y = f(x) definida por:
![]()
Solução:
Sabemos que só existe logaritmo de número positivo. Logo,
a expressão log log y somente existirá se log y> 0.
Portanto, deveremos ter:![]()
Obs: log B = log10B (logaritmo decimal ® base 10) e log 1 = 0.
Para base maior do que 1, a função logarítmica é crescente. Logo, concluímos:![]()
![]()
Lembre-se que y / y = 1, para y ¹ 0.
Podemos então escrever:![]()
Temos uma inequação quociente a ser resolvida.
a) Raízes da equação do 2º grau (numerador): �2x2 + 2x + 4 = 0
A equação é equivalente a 2x2 � 2x � 4 = 0 ou x2 - x - 2 = 0
Raízes 2 e -1. (Aplique a fórmula de Bhaskara ou a forma (S,P) de uma equação do 2º grau).
b) Raízes da equação do 2º grau x2 � 4x + 3 = 0
Raízes 3 e 1.
Ora, como sabemos que se o trinômio ax2+bx+c possui raízes x1 e x2 , podemos escrever:
ax2+bx+c = a(x-x1)(x-x2), teremos então:
![]()
Que é equivalente a:
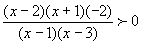
![]()
Obs: o sinal da desigualdade mudou, porque multiplicamos ambos os membros por �1/2 para eliminar o número (-2) do numerador. Sabemos que ao multiplicarmos ambos os membros de uma desigualdade por um número negativo, ela muda de sentido.
Para resolver a inequação quociente acima, vamos estudar os sinais de cada binômio presente na desigualdade acima, através de uma tabela de sinais.
Para entender a tabela abaixo, basta lembrar das regras de multiplicação e divisão de números relativos.
![]()
Portanto, os valores que satisfazem a última desigualdade acima , são:
-1 < x < 1 ou 2< x < 3 onde o quociente Q é negativo.
Portanto, o domínio da função será:
D = {x Î R; -1 < x < 1 ou 2 < x < 3}
A resposta acima poderá também ser escrita na forma de intervalo:
D = (-1, 1) È (2, 3)Paulo Marques - Feira de Santana - BA - 07 de setembro de 1996