|
Um presente de Ano Novo - Feliz 2006, 2007, 2008, 2009, ...! |
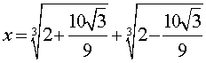
EPUSP 1968 Mostrar que é inteiro o número

Nota:
EPUSP Escola Politécnica da Universidade de São
Paulo.
Solução:
Seja
x = a + b onde a é a primeira parcela da soma
acima e b a segunda parcela.
Elevando ambos os membros ao
cubo, fica:
x3 = (a + b)3 = a3 +
3 a2b + 3 ab2 + b3 (fórmula
do cubo de uma soma).
Para os nossos propósitos,
poderemos adequar a fórmula acima fatorando a expressão
central 3a2b + 3 ab2 da seguinte forma:
3ab(a
+ b), resultando:
x3
= (a + b)3 = a3 + b3 + 3ab(a +
b)
Observando que a + b = x, vem substituindo na
expressão acima:
x3 = a3 + b3
+ 3ab.x
Lembrando que a e b são
respectivamente a primeira e a segunda parcela da soma dada no
problema, precisamos conhecer os termos a3 , b3
e ab para dar prosseguimento à
solução.
Ora,

Observe que a3
+ b3 = 4.
E, finalmente,![]()
Substituindo os
valores encontrados, na igualdade já obtida acima x3
= a3 + b3 + 3ab.x , vem:
x3
= 4 + 3.(2/3).x ou seja: x3 = 4 + 2x
Então,
x3 2x 4 = 0.
Observando atentamente,
vemos que 2 é raiz da equação acima pois, 23
2.2 4 = 0. Logo, tecnicamente, o problema está
resolvido já que sabemos que o número dado é
igual a 2, portanto, um número inteiro.
Vamos
entretanto, dentro do rigor requerido nos vestibulares da época
ano de 1968 - resolver esta equação do
terceiro grau
x3 2x 4 = 0 .
Resolvendo
a equação x3 2x 4 =
0
Resolver problemas de Matemática, requer
muitas vezes, enxergar três ou mais lances à frente.
Alguns conseguem, outros não, num primeiro momento.
Mas,
uma coisa é certa: todos conseguem com o tempo.
Lembre-se que MATEMÁTICA é inspiração
+ transpiração!
Olhando o jeitão
(desculpem a forma coloquial) da equação dada, vemos
que é possível simplificá-la adicionando o valor
(8 8) = 0 ao primeiro membro, o que não modificará
a igualdade, já que a adição de zero não
muda o valor da soma. Então:
x3 2x
4 + 8 8 = 0
A igualdade acima é equivalente a (x3
8) 2x + 4 = 0
Esta igualdade pode ser arrumada na
forma:
(x3 8) 2(x 2) = 0
Para
os bons observadores (e para aqueles nem tanto), já dá
para enxergar o benefício da introdução do (8
8) na equação dada.
Ocorre que
x3
8 = x3 23 = (x 2)(x2
+ 2.x2-1 + 23-1 = (x 2).(x2 +
2x + 4)
Nota: isto decorre da
expressão geral: xn an =
(x-a)(xn-1 + a.xn-2 + a2.xn-3
+ ... + an 1)
No presente caso, temos n
= 3 e a = 2.
Substituindo na equação original,
vem:
(x 2).(x2 + 2x + 4) 2(x
2) = 0
Colocando o termo (x 2) em evidencia, fica:
(x
2) (x2 + 2x + 4 2) = 0
Simplificando:
(x
2).(x2 + 2x + 2) = 0
Sabemos que se P.Q = 0
então P = 0 ou Q = 0.
Então, de (x 2).(x2
+ 2x + 2) = 0, inferimos que x 2 = 0 ou x2 + 2x +
2 = 0.
Da primeira igualdade x 2 = 0, vem imediatamente que
x = 2.
Da segunda igualdade x2 + 2x + 2 = 0 (uma
equação do segundo grau), vem pela fórmula de
Bhaskara (matemático hindu do século XII):
Nota: Voc� sabia que a f�rmula atribu�da a Bhaskara n�o foi descoberta por ele e, sim, por outro matem�tico hindu do s�culo XI - Sridhara - portanto um s�culo antes?
Lembre-se
de Números Complexos que Ö-1
= i, onde i é a unidade imaginária.
Portanto, a
equação dada possui três raízes, a saber:
2, (-1 + i) e (1 i).
A equação
possui então, uma única raiz real (x = 2) e duas
raízes complexas.
Concluímos pois, que o número
dado é igual a 2 e, portanto, um inteiro, o que
resolve definitivamente o problema proposto.
Notas:
1 parabenizamos (se é que temos autoridade para
isto) aos Engenheiros que passaram no vestibular da EPUSP em 1968 e
que conseguiram resolver este problema.
Naquela época, as
questões eram discursivas, ou seja, não bastava marcar
uma alternativa. Os cálculos para apresentação
da solução, tinham que ser explicitados numa folha de
cálculo e corrigidos por uma banca de examinadores atenta a
todos os detalhes.
2 agradecemos ao visitante do site
que nos enviou esta questão para solução.
Paulo
Marques, Feira de Santana BA 31 de dezembro de 2005,
revisto e ampliado em 23/05/2009