Vestibular VII


1 - UFMG - De um recipiente cheio de água tiram-se 2 / 3 de seu conteúdo. Recolocando-se 30 litros de água, o conteúdo passa a ocupar a metade do volume inicial. 
A capacidade do recipiente é:

a) 45 litros
b) 75 litros
c) 120 litros
d) 150 litros
e) 180 litros

Solução:

Seja V o volume inicial. Do enunciado, podemos escrever:
V - (2 / 3).V + 30 = V / 2. Logo, 30 = V / 2 - V + (2 / 3) V , De onde conclui-se V = 180 .
Logo, a alternativa correta é a letra E.

2 - UFMG - A soma e o produto das raízes da equação px2 + 2(q - 1) x + 6 = 0 , são, respectivamente, 
-3 e 3. O valor de q é:

a) -4
b) -2
c) 0
d) 2
e) 4

Solução:

Sabemos que sendo z e w as raízes de uma equação do 2º grau   ax2 + bx + c = 0 , podemos escrever:
z + w = - b / a
z . w = c / a . L
Logo, em relação à questão dada, vem:

- 3 = - [2(q - 1)] / p
3 = 6 / p ; daí vem: p = 2 , que substituído na primeira igualdade, fica:

- 3 = - [2(q - 1)] / 2 .
3 = 2(q - 1) / 2
6 = 2(q - 1)
e, portanto q = 4, o que nos indica a alternativa E .
 

3 - UFMG - O gráfico da função quadrática y = ax2 + bx + c, a ¹ 0, tem (5, 3) como ponto mais próximo do eixo das abscissas e passa pelo ponto (1, 4). Todas as alternativas sobre essa função estão corretas, exceto:

a) a função não tem raízes reais
b) obrigatoriamente se tem a > 0
c) o eixo de simetria do gráfico é a reta x = 5
d) o gráfico passa pelo ponto (9, 4)
e) o gráfico corta o eixo dos y no ponto (0, 11/3).

Solução:

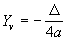
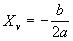
As informações dadas no problema nos indicam que o ponto (5, 3) é o vértice do gráfico da função. As coordenadas do vértice da parábola - gráfico de uma função do 2º grau - são dadas por:



onde D = b2 - 4ac (conhecido como discriminante).

Substituindo os valores de xv = 5 e yv = 3 , vem: 5 = - b / 2 a e 3 = - (b2 - 4ac) / 4 a .
Tirando o valor de b da primeira igualdade e substituindo na segunda, vem:
3 = - [(- 10 a)2 - 4 ac] / 4a, de onde vem, 3 = - [100 a2 - 4 ac] / 4 a  ou 12 a = - (100 a2 - 4ac)

- 12 a = 4 a (25 a - c)
Dividindo ambos os membros por 4a, fica:
- 3 = 25 a - c , de onde vem c = 25 a + 3

Substituindo os valores de b e c em função de a , na função dada, vem:
y = a x2 - 10 a x + 25 a + 3

Como é dado que o gráfico passa no ponto (1, 4) , substituindo x = 1 e y = 4, fica:
4 = a . 12 - 10 a . 1 + 25 a + 3, de onde concluímos  a = 1 / 16

Em consequ�ncia,
b = - 10 a = - 10 / 16
c = 25 a + 3 = 25 (1/16) + 3 = 73 / 16
Portanto a função quadrática é : y = (1 / 16) x2 + (- 10 / 16 ) x + 73 /16

Para esta função, teremos: D = b2 - 4 ac = ( - 10 / 16)2 - 4 . (1/16) (73 / 16) = -192 / 256  e,
portanto negativo, de onde conclui-se que a função não possui zeros reais e portanto a alternativa A é verdadeira.

A alternativa B é também verdadeira, já que a = 1 / 16 e portanto, positivo.

O eixo de simetria do gráfico da função é x = xv = - b / 2 a = - (- 10 / 16) / 2(1 / 16) = 5, e portanto a alternativa C é também verdadeira.

Fazendo x = 9 na função, vem: y = (1 / 16) . 92 - (10 / 16) . 9 + 73 / 16. Ent�o,
y = (81 / 16) - (90 / 16) + (73 / 16) = 64 / 16 = 4 e portanto , o ponto (9, 4) pertence ao gráfico da função. Daí, a alternativa D é também verdadeira. Portanto a única alternativa falsa é a constante da letra E.

Realmente , o gráfico de uma função quadrática y = ax2 + bx + c , intercepta o eixo vertical (eixo das ordenadas) no ponto (0, c) e no nosso caso, como c = 73/16, o ponto de intersec��o com o eixo dos y será (0, 73/16) e não (0, 11/3) como foi colocado na alternativa E .

4 - UFMG - O conjunto de todos os valores de x que satisfazem à desigualdade

é:

a) vazio
b) x > 1
c) - 1 < x < 0
d) x < -1
e) R

Solução:

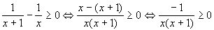
Podemos escrever:

Para que esta fração seja positiva, como o numerador é negativo, o denominador deverá ser também negativo (Veja uma justificativa de que menos dividido por menos dá mais  visitando o arquivo indicado no link anterior).

Logo, x(x + 1) < 0 (observe que o denominador não pode anular-se).

Para resolver esta inequação produto, teremos que estudar os sinais dos fatores, o que podemos fazer simplificadamente, construindo a tabela a seguir:

Portanto, o único intervalo onde o produto x(x+1) é negativo, é no intervalo de  - 1 a 0, e concluímos que 
-1 < x < 0, o que nos leva à alternativa C.

5 - UFMG - Sendo f(x) = 23x e g(x) = log x onde log x representa logaritmo decimal, o valor de
f(g(10)) é:

a) 2
b) 4
c) 6
d) 8
e)10

Solução:

Ora, g(10) = log 10 = 1 , pois 101 = 10. Logo, f(g(10)) = f(1) = 23.1 = 23 = 8, e portanto, letra D.

6 - UFMG - Para que os polinômios P(x) = (a2 + b2 - 109) x3 + 7 x2 + cx e Q(x) = (a - b)x2 + 9x sejam idênticos, o produto abc deve ser igual a:

a)-540
b)-270
c)270
d)540
e)9.1091/2

Solução:

Deveremos ter: (a2 + b2 - 109)x3 + 7x2 + c x = 0x3 + (a - b)x + 9x . 
Logo,
a2 + b2 - 109 = 0
7 = a - b de onde vem: a = 7 + b
c = 9

Podemos então escrever: (7 + b)2 + b2 - 109 = 0 , de onde vem  49 + 14b + b2 + b2 - 109 = 0.

Simplificando, fica:
2b2 + 14b - 60 = 0, ou b2 + 7b - 30 = 0, cujas raízes são b = - 10 ou b = 3.

Como a = 7 + b, vem:
a = 7 + (-10) = -3 ou a = 7 + 3 = 10.

Portanto os ternos de valores que satisfazem ao problema são:
(a, b, c) = (-3, -10, 9) ou (a, b ,c) = (10, 3, 9).

Em ambos os casos, teremos abc = (-3).(-10).9 = 10.3.9 = 270, e portanto a alternativa correta é a letra C.

7 - UFMG - A área de um quadrado que tem A = (4,8) e B = (-2, 2) como vértices opostos é:

a) 36
b) 20
c) 18
d) 16
e) 12

Solução:

Seja o quadrado da figura abaixo:

A distância AB é a diagonal do quadrado. Logo, usando a fórmula de distância entre dois pontos, vem:
AB2 = [4 - (-2)]2 + (8 - 2)2 , logo,  AB2 = 72, de onde vem AB = sqrt(72) = 6 . sqrt(2), onde
sqrt = square root ( raiz quadrada ).

Mas, sabemos da Geometria plana que a diagonal d de um quadrado é igual a d = L.sqrt(2).
Portanto, 6. sqrt(2) = L . sqrt(2), de onde vem imediatamente L = 6.
A área do quadrado é igual ao quadrado da medida do lado e então Área = L2 = 62 = 36 u. a  
ou seja 36 unidades de área, o que nos leva a concluir que a resposta correta é a de letra A .

Paulo Marques - Feira de Santana - BA - 02/03/02 - arquivo revisado e ampliado em 24/05/2003.


VOLTAR