Vestibular IV - dois problemas resolvidos



I - O número de soluções inteiras positivas e menores do que 10, da inequação dada a seguir, 
é igual a:



a) 7
b) 6
c) 5
d) 9
e) 8

Solução:

Podemos escrever:

Efetuando os cálculos indicados, teremos:

Simplificando o numerador, vem:

Ora, observe que o numerador é sempre positivo para todo valor de x. É trivial portanto, que o quociente indicado somente será positivo se o denominador também for positivo!

Nestas condições, deveremos ter necessariamente x2 - 9 > 0 ou x2 > 9 o que significa
x > 3 ou x < - 3. Portanto, os valores possíveis para x, com a condição de serem inteiros positivos e menores do que 10, conforme o enunciado, são: 4, 5, 6, 7, 8 e 9.

Portanto existem 6 valores de x que satisfazem à inequação dada, o que nos leva a concluir que a alternativa correta é a letra B.

II - Num grupo de 100 pessoas amigas, 99% são corintianas e 1% são-paulinas. O número de corintianos que deve abandonar o grupo, para que 98% das pessoas restantes sejam corintianas, é:

a) 20
b) 50
c) 20
d) 49
e) 1

Solução:

É óbvio que existem 99 corintianos no grupo, uma vez que 99% de 100 = 99.

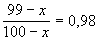
Seja x o número de corintianos que abandona o grupo. Podemos dizer que ficarão 100 - x pessoas
no grupo e 99 - x corintianos. Logo, como o problema especifica que 98% das pessoas restantes do grupo devem ser corintianas, podemos concluir infalivelmente que:

Nota: 98% = 98 / 100 = 0,98

Logo, desenvolvendo a expressão supra, vem: 99 - x = 0,98(100 - x) \ 99 - x = 98 - 0,98x e, portanto, 
1 = 0,02. x o que significa que x = 1 / 0,02 = 100 / 2 = 50, que é a resposta do problema, o que nos conduz à alternativa B. Esta resposta é aparentemente surpreendente, mas, somente aparentemente!

Nota: Li o enunciado da quest�o acima,  no jornal Folha de S�o Paulo em 1999.

Agora resolva esta:

Sendo

Calcule o valor de E = 9(a+b)

Resposta: 78

Paulo Marques - Feira de Santana - BA, 25 de outubro de 2002


VOLTAR