Considere as igualdades abaixo:Um expoente no Colégio Naval em 1997
![]()
![]()
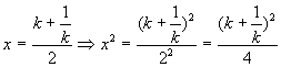
O valor de
4x2 - 3y2 é:

Então, b = 4x2 – 3y2 =
[k+(1/k)2] – [k-(1/k)2]= k2 + 2 + (1/k)2 – (k2 – 2 + (1/k)2
Nota: a passagem acima justifica-se pelos
seguintes e tradicionais produtos notáveis:
(A ± B)2 = A2 ± 2.A.B + B2 , para todo A e
B, ou seja: "o quadrado de uma soma (ou
diferença) de dois termos é igual ao quadrado
do primeiro, mais (ou menos)
o dobro do produto do primeiro pelo segundo, mais o quadrado do segundo".
Logo, efetuando as operações indicadas no segundo membro acima (em negrito),
fica:
b = k2 + 2 + (1 / k)2 – k2 + 2 – (1 / k)2
Cancelando os termos opostos (simétricos) k2 e -k2
e também (1 / k)2 e -(1 / k)2
, resulta finalmente: b =
4, o que nos leva tranquilamente à alternativa E.
Paulo Marques – 07/09/2002 – Feira de Santana –
BA - editado e ampliado em 18/03/11.
VOLTAR